2025-yil 30-dekabrda Maktabgacha va maktab taʼlimi vazirligining “Umumiy oʻrta taʼlim muassasalari direktori va uning oʻrinbosarlari faoliyat samaradorligi koʻrsatkichlarining (KPI) baholash metodikasi va tartibini belgilash” toʻgʻrisidagi 478-sonli buyrugʻi qabul qilindi.
Unga koʻra, 2026-yil 1-yanvardan boshlab umumiy oʻrta taʼlim tashkilotlarining direktor jamgʻarmasi mablagʻlari hisobidan direktor va uning oʻrinbosarlariga faoliyat samaradorligi koʻrsatkichlari (KPI) natijasiga koʻra bazaviy tarif stavkalariga nisbatan tegishlicha 20 va 10 foiz miqdorida har oylik ustamalar belgilanadi.
Vazirlar Mahkamasining 2019-yil 30-sentabrdagi “Umumiy oʻrta taʼlim muassasalarining oʻrnak koʻrsatgan xodimlarini moddiy ragʻbatlantirish tartibini takomillashtirish toʻgʻrisida” 823-son qaroriga umumtaʼlim muassasalarining direktori va uning oʻrinbosarlari faoliyatining samaradorlik koʻrsatkichlarini baholashni nazarda tutuvchi oʻzgartirish va qoʻshimchalar kiritilganligi maʼlumot va ijro uchun qabul qilindi.
Shuningdek, umumiy oʻrta taʼlim muassasalari direktori va uning oʻrinbosarlari faoliyat samaradorligi koʻrsatkichlarining (KPI) baholash metodikasi va tartibi tasdiqlandi.
Umumiy oʻrta taʼlim muassasalari direktori va uning oʻrinbosarlari faoliyat samaradorligi koʻrsatkichlarining (KPI) baholash metodikasi
| KOʻRSATKICHLAR | BALL | |
| UMUMIY | 100 | |
| 1. Akademik natijalar | 40 | |
| 1. | 1.1. Umumtaʼlim muassasasi oʻquvchilarining fan olimpiadalarida qoʻlga kiritgan
yutuqlarini baholash |
10 |
| 2. | 1.2. Umumtaʼlim muassasasi bitiruvchilarining davlat oliy taʼlim muassasasiga kirish
imtihonidagi (oʻrtacha ball) natijalari |
10 |
| 3. | 1.3. Yuqori sinf (5-11-sinf) oʻquvchilarning yillik oʻrtacha oʻzlashtirish koʻrsatkichi (sifat
koʻrsatkichi) |
10 |
| 4. | 1.4. Umumtaʼlim muassasasi bitiruvchilarining xorijiy til boʻyicha milliy va xalqaro
sertifikatga ega ekanligi |
5 |
|
5. |
1.5. Respublika miqyosidagi rasmiy tanlovlardagi natijalari (Oʻzbekiston Respublikasi
Prezidentining sovrini uchun “Xorijiy tillarni oʻqitish boʻyicha eng yaxshi maktab” tanlovi) |
5 |
| 2. Noakademik natijalar | 10 | |
| 1. | 2.1. Ilgʻor ish tajribasi ommalashtirilgan oʻqituvchilar ulushi | 5 |
| 2. | 2.2. Umumiy oʻrta taʼlim maktab rahbariyatining OAVlarda faolligi (internet va ijtimoiy
tarmoqlar hamda matbuot va televideniyada taʼlimga oid chiqishlar) |
5 |
| 3. Tarbiyaviy ishlar samaradorligi | 15 | |
| 1. | 3.1. Umumtaʼlim tashkilotlari taʼlim jarayonida oʻquvchilarning ishtiroki (davomat) | 5 |
|
2. |
3.2. Umumiy oʻrta taʼlim maktablarida maʼnaviy-maʼrifiy faoliyat samaradorligi
(madaniy, huquqiy, ekologik, harbiy vatanparvarlik tanlovlarida oʻquvchilarning gʻolib boʻlganligi) |
5 |
|
3. |
3.3. Tuman (shahar), viloyat va Respublika miqyosidagi tanlovlardagi natijalari
(madaniyat, sanʼat, kitobxonlik, texnika va sport yoʻnalishlari boʻyicha tanlovlarda oʻquvchilarning gʻolib boʻlganligi) |
5 |
| 4. Moliyaviy faoliyat samaradorligi | 5 | |
| 1. | 4.1. Umumtaʼlim muassasasi faoliyatining moliyaviy samaradorligi (budjetdan tashqari
mablagʻlarni jalb etilishi) |
5 |
| 5. Malakali oʻqituvchilar bilan taʼminlanganlik darajasi | 30 | |
| 1. | 5.1. Oliy va birinchi malaka toifasiga ega boʻlgan oʻqituvchilar ulushi | 20 |
| 2. | 5.2. Oʻqituvchilarining milliy va xalqaro tan olingan imtihon tizimlari boʻyicha
sertifikatlarga egaligi |
10 |
| Direktor | (oʻrinbosarlar): | |
| 20% | (10%) | — 91-100 ball |
| 15 % | (7.5%) | — 81-90 ball |
| 10% | (5%) | — 71-80 ball |
| 5% | (2.5%) | — 61-70 ball |
| 0 | 0 | — 60 ball va undan past |
Umumiy oʻrta taʼlim muassasalari direktori va uning oʻrinbosarlari faoliyat samaradorligi koʻrsatkichlarining (KPI) baholash tartibi
1. AKADEMIK NATIJALAR
Umumtaʼlim muassasasi oʻquvchilarining fan olimpiadalarida qoʻlga kiritgan yutuqlarini baholash
Ushbu mezonga 10 ball ajratilgan boʻlib, Asosiy olimpiadaning ikkinchi (tuman- shahar), uchinchi (hududiy), toʻrtinchi (respublika) bosqichlarida, shuningdek Xalqaro olimpiadalarda va ularga saralash bosqichlarda hamda Fan olimpiadalari markazi tomonidan tashkil etiladigan onlayn olimpiadalardagi ishtiroki va yutuqlari qarab, ballar 1-jadvalga muvofiq taqsimlanadi:
| Koʻrsatkich | Ball |
| 1.1. Umumtaʼlim muassasasi oʻquvchilarining fan olimpiadalarida qoʻlga kiritgan yutuqlarini baholash | 10 |
| 1.1.1. Oʻquvchilari Asosiy olimpiadaning ikkinchi (tuman-shahar) bosqichida sovrinli oʻrinlarni egallaganligi | 3 |
| 1 ta sovrinli oʻrin boʻlsa | 2 |
| 2 ta va undan ortiq sovrinli oʻrin boʻlsa | 3 |
| 1.1.2. Oʻquvchilari Asosiy olimpiadaning uchinchi (hududiy) bosqichida sovrinli oʻrinlarni egallaganligi | 3 |
| Eng yaxshi koʻrsatkichi 3-oʻrin boʻlsa | 1 |
| Eng yaxshi koʻrsatkichi 2-oʻrin boʻlsa | 2 |
| Eng yaxshi koʻrsatkichi 1-oʻrin boʻlsa | 3 |
| 1.1.3. Oʻquvchilari Asosiy olimpiadaning toʻrtinchi (respublika) bosqichi gʻolib va sovrindori boʻlganligi | 2 |
| Respublikada sovrinli oʻrin boʻlsa | 2 |
| 1.1.4. Oʻquvchilari Xalqaro olimpiadalarda va ularga saralash bosqichlarda erishgan yutuqlari | 2 |
| Xalqaro olimpiadalarga saralash bosqichida ishtirok etish yoʻllanmasini qoʻlga kiritsa | 1 |
| Xalqaro olimpiadalarga saralash bosqichlaridan oʻtib terma jamoa tarkibiga kirsa | 1,5 |
| Vazirlar Mahkamasining 09.09.2021-yildagi 562-son qarorida belgilangan
Xalqaro olimpiadalarda sovrindor (oltin, kumush, bronza) boʻlsa |
2 |
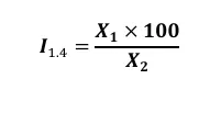
Umumtaʼlim muassasasi bitiruvchilarining davlat oliy taʼlim muassasasiga kirish imtihonidagi (oʻrtacha ball) natijalari
Ushbu mezonga 10 ball ajratilgan boʻlib, quyidagi formula yordamida aniqlanadi:
bu yerda:
Natijalarga koʻra, ballar 2-jadvalga muvofiq taqsimlanadi:
| Koʻrsatkich | Ball |
| Umumtaʼlim muassasasi bitiruvchilarining davlat oliy taʼlim muassasasiga kirish imtihonidagi (oʻrtacha ball) natijalari | 10 |
| Bitiruvchilarning imtihondagi (oʻrtacha ball) natijalari 30% dan 35% gacha boʻlsa | 2 |
| Bitiruvchilarning imtihondagi (oʻrtacha ball) natijalari 35% dan 40% gacha boʻlsa | 4 |
| Bitiruvchilarning imtihondagi (oʻrtacha ball) natijalari 40% dan 45% gacha boʻlsa | 6 |
| Bitiruvchilarning imtihondagi (oʻrtacha ball) natijalari 45% dan 50% gacha boʻlsa | 8 |
| Bitiruvchilarning imtihondagi (oʻrtacha ball) natijalari 50% va undan yuqori boʻlsa | 10 |
Yuqori sinf (5-11-sinf) oʻquvchilarning yillik oʻrtacha oʻzlashtirish koʻrsatkichi (sifat koʻrsatkichi)
Ushbu mezonga 10 ball ajratilgan boʻlib, e-maktab maʼlumotlari asosida ballar 3-jadvalga muvofiq taqsimlanadi:
| Koʻrsatkich | Ball |
| Yuqori sinf (5-11-sinf) oʻquvchilarning yillik oʻrtacha oʻzlashtirish koʻrsatkichi (sifat koʻrsatkichi) | 10 |
| 61-70 foiz oraligʻida boʻlsa | 2 |
| 71-80 foiz oraligʻida boʻlsa | 4 |
| 81-90 foiz oraligʻida boʻlsa | 6 |
| 91-95 foiz oraligʻida boʻlsa | 8 |
| 96 foizdan yuqori boʻlsa | 10 |
Umumtaʼlim muassasasi bitiruvchilarining xorijiy til boʻyicha milliy va xalqaro sertifikatga ega ekanligi
Ushbu mezonga 5 ball ajratilgan boʻlib, quyidagi formula yordamida aniqlanadi:
bu yerda:
Natijalarga koʻra ballar 4-jadvalga muvofiq taqsimlanadi:
| Koʻrsatkich | Ball |
| Umumtaʼlim muassasasi bitiruvchilarining xorijiy til boʻyicha milliy va xalqaro sertifikatga ega ekanligi* | 5 |
| 10-24 %ni tashkil etsa | 1 |
| 25-39 %ni tashkil etsa | 2 |
| 40-54 %ni tashkil etsa | 3 |
| 55-69 %ni tashkil etsa | 4 |
| 70 % va undan koʻpini tashkil etsa | 5 |
Umumtaʼlim muassasasi bitiruvchilarining xorijiy til boʻyicha milliy va xalqaro tan olingan imtihon sertifikatlarga ega ekanligi oliy taʼlim muassasalariga oʻqishga kirishda imtiyoz beradigan sertifikatlar soniga nisbatan aniqlanadi.
Respublika miqyosidagi rasmiy tanlovlardagi natijalari (Oʻzbekiston Respublikasi Prezidentining sovrini uchun «Xorijiy tillarni oʻqitish boʻyicha eng yaxshi maktab» tanlovi)
Ushbu mezonga 5 ball ajratilgan boʻlib, umumtaʼlim maktablari natijalari asosida jadvalga muvofiq taqsimlanadi:
| Koʻrsatkich | Ball |
| Umumtaʼlim maktablarining tanlovda koʻrsatgan natijalari (Oʻzbekiston Respublikasi Prezidentining sovrini uchun «Xorijiy tillarni oʻqitish
boʻyicha eng yaxshi maktab» tanlovi) |
5 |
| Tanlovning tuman (shahar) bosqichida eng yuqori natija koʻrsatgan ishtirokchilarning top 50 foizligiga kirgan maktablarga | 1 |
| Tanlovning tuman (shahar) bosqichida eng yuqori natija koʻrsatgan ishtirokchilarning top 40 foizligiga kirgan maktablarga | 2 |
| Tanlovning tuman (shahar) bosqichida eng yuqori natija koʻrsatgan ishtirokchilarning top 30 foizligiga kirgan maktablarga | 3 |
| Tanlovning Qoraqalpogʻiston Respublikasi, viloyatlar va Toshkent shahar bosqichida ishtirok etish huquqini qoʻlga kiritgan maktablarga | 4 |
| Tanlovning respublika bosqichida ishtirok etish huquqini qoʻlga kiritgan 14 ta maktablarga | 5 |
2. NOAKADEMIK NATIJALAR
Ilgʻor ish tajribasi ommalashtirilgan oʻqituvchilar ulushi
Ilgʻor ish tajribasi ommalashtirilgan oʻqituvchilarning ulushini baholovchi ushbu mezonga 5 ball ajratilgan hamda quyidagi formula yordamida aniqlanadi:
bu yerda:
Natijalarga koʻra ballar 6-jadvalga muvofiq taqsimlanadi:
| Koʻrsatkich | Ball |
| Ilgʻor ish tajribasi ommalashtirilgan oʻqituvchilarning ulushi | 5 |
| 2 gachani tashkil etsa | 1 |
| 2 dan 4 gachani tashkil etsa | 2 |
| 4 dan 6 gachani tashkil etsa | 3 |
| 6 dan 8 gachani tashkil etsa | 4 |
| 8 dan koʻpni tashkil etsa | 5 |
Umumiy oʻrta taʼlim maktab rahbariyatining OAVlarda faolligi (internet va ijtimoiy tarmoqlar hamda matbuot va televideniyada taʼlimga oid chiqishlar)
Ushbu mezonga 5 ball ajratilgan boʻlib, tuman (shahar) maktabgacha va maktab taʼlim boʻlimi Internet sahifalari va ijtimoiy tarmoqlari, tumandagi mavjud davriy nashrlar va telekanallar, shu yoʻnalishda viloyat miqyosmda hamda Respublika yetakchi internet saytlari, davriy bosma nashrlar va telekanallar orqali chiqishlarga qarab, ballar 7-jadvalga muvofiq taqsimlanadi:
| Koʻrsatkich | Ball |
| Umumiy oʻrta taʼlim maktab rahbariyatining OAVlarda faolligi (internet va ijtimoiy tarmoqlar hamda matbuot va televideniyada taʼlimga oid
chiqishlar) |
5 |
| Tuman (shahar) miqyosida chiqishlar | 3 |
| Viloyat miqyosida chiqishlar | 4 |
| Respublika va xorijiy miqyosida chiqishlar | 5 |
3. TARBIYAVIY ISHLAR SAMARADORLIGI
Umumtaʼlim tashkilotlari taʼlim jarayonida oʻquvchilarning ishtiroki (davomat)
Ushbu mezonga 5 ball ajratilgan boʻlib, e-maktab maʼlumotlari asosida ballar 8-jadvalga muvofiq taqsimlanadi:
| Koʻrsatkich | Ball |
| Umumtaʼlim tashkilotlari taʼlim jarayonida oʻquvchilarning ishtiroki
(davomat) |
5 |
| 91-92 foiz boʻlsa | 1 |
| 93-94 foiz boʻlsa | 2 |
| 95-96 foiz boʻlsa | 3 |
| 97-98 foiz boʻlsa | 4 |
| 99-100 foiz boʻlsa | 5 |
Umumiy oʻrta taʼlim maktablarida maʼnaviy-maʼrifiy faoliyat samaradorligi (madaniy, huquqiy, ekologik, harbiy vatanparvarlik tanlovlaridan oʻquvchilarning gʻolib boʻlganligi)
Ushbu mezonga 5 ball ajratilgan boʻlib, Maktabgacha va maktab taʼlimi vazirligi tomonidan hamkorlik tashkilotlar bilan belgilangan tartib asosida oʻtkaziladigan madaniy, huquqiy, ekologik, harbiy vatanparvarlik tanlovlarida oʻquvchilarning birinchi (tuman-shahar), ikkinchi (hududiy), uchinchi (respublika) bosqichlarida ishtiroki va yutuqlari qarab, ballar 9-jadvalga muvofiq taqsimlanadi:
| Koʻrsatkich | Ball |
| Umumiy oʻrta taʼlim maktablarida maʼnaviy-maʼrifiy faoliyat samaradorligi (madaniy, huquqiy, ekologik, harbiy vatanparvarlik
tanlovlarida oʻquvchilarning gʻolib boʻlganligi) |
5 |
| Tuman (shahar) bosqichi | 3 |
| Viloyat (hududiy) bosqichi | 4 |
| Respublika bosqichi | 5 |
Tuman (shahar), viloyat va Respublika miqyosidagi tanlovlardagi natijalari (madaniyat, sanʼat, kitobxonlik, texnika va sport yoʻnalishlari boʻyicha tanlovlarda oʻquvchilarning gʻolib boʻlganligi)
Ushbu mezonga 5 ball ajratilgan boʻlib, umumtaʼlim maktablari natijalari asosida jadvalga muvofiq taqsimlanadi:
| Koʻrsatkich | Ball |
| Tuman (shahar), viloyat va Respublika miqyosidagi tanlovlardagi natijalari (madaniyat, sanʼat, kitobxonlik, texnika va sport yoʻnalishlari
boʻyicha tanlovlarda oʻquvchilarning gʻolib boʻlganligi) |
5 |
| Tuman (shahar) bosqichi | 3 |
| Viloyat (hududiy) bosqichi | 4 |
| Respublika bosqichi | 5 |
4. MOLIYAVIY FAOLIYAT SAMARADORLIGI
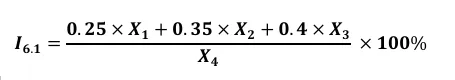
Umumtaʼlim muassasasi faoliyatining moliyaviy samaradorligi (budjetdan tashqari mablagʻlarni jalb etilishi)
Ushbu mezonga 5 ball ajratilgan boʻlib, quyidagi formula yordamida aniqlanadi:
bu yerda:
Natijalarga koʻra, ballar 11-jadvalga muvofiq taqsimlanadi:
| Koʻrsatkich | Ball |
| Umumtaʼlim muassasasi faoliyatining moliyaviy samaradorligi (byudjetdan tashqari mablagʻlarni jalb etilishi) | 5 |
| Har bir oʻquvchiga BHMning 0,51 – 1,0 baravari oraligʻida boʻlsa | 1 |
| Har bir oʻquvchiga BHMning 1,01 – 2,0 baravari oraligʻida boʻlsa | 2 |
| Har bir oʻquvchiga BHMning 2,01 – 3,0 baravari oraligʻida boʻlsa | 3 |
| Har bir oʻquvchiga BHMning 3,01 – 4,0 baravari oraligʻida boʻlsa | 4 |
| Har bir oʻquvchiga BHMning 4,01 baravari va undan koʻp boʻlsa | 5 |
5. MALAKALI OʻQITUVCHILAR BILAN TAʼMINLANGANLIK DARAJASI
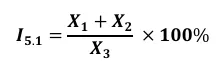
Oliy va birinchi malaka toifasiga ega boʻlgan oʻqituvchilar ulushi
Oʻqituvchilarning sifat tarkibini baholovchi ushbu mezonga 20 ball ajratilgan hamda quyidagi formula yordamida aniqlanadi:
bu yerda:
Natijalarga koʻra ballar 12-jadvalga muvofiq taqsimlanadi:
| Koʻrsatkich (1-variant) | Ball |
| Oliy va birinchi malaka toifasiga ega boʻlgan oʻqituvchilar ulushi | 20 |
| 20 dan 30 % gachani tashkil etsa | 5 |
| 30 dan 40 % gachani tashkil etsa | 10 |
| 40 dan 50 % gachani tashkil etsa | 15 |
| 50 % va undan koʻpini tashkil etsa | 20 |
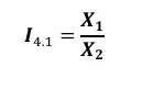
Oʻqituvchilarining milliy va xalqaro tan olingan imtihon tizimlari boʻyicha sertifikatlarga egaligi
Ushbu mezonga 10 ball ajratilgan boʻlib, quyidagi formula yordamida aniqlanadi:
bu yerda:
Natijalarga koʻra ballar 13-jadvalga muvofiq taqsimlanadi:
| Koʻrsatkich | Ball |
| Oʻqituvchilarining milliy va xalqaro tan olingan imtihon tizimlari boʻyicha sertifikatlarga egaligi* | 10 |
| 5 dan 10 % gachani tashkil etsa | 2 |
| 11 dan 15 % gachani tashkil etsa | 4 |
| 16 dan 20 % gachani tashkil etsa | 6 |
| 21 dan 25 % gachani tashkil etsa | 8 |
| 26 % va undan koʻpini tashkil etsa | 10 |
Umumiy oʻrta taʼlim muassasasilari oʻqituvchilarining milliy va xalqaro tan olingan imtihon tizimlari boʻyicha malaka va koʻnikmalari darajalarini baholash ularni tegishli sertifikatga ega ekanliklarini aniqlash orqali amalga oshiriladi. Bunda Vazirlik tomonidan roʻyxati tasdiqlangan milliy va xalqaro tan olingan sertifikatlar erp.maktab.uz platformasi orqali haqiqiy deb qabul qilingan hamda qoʻshimcha ustama toʻlanayotganlari asosida amalga oshiriladi.
Milliy va xalqaro tan olingan sertifikat joriy etilgan fanlar oʻqituvchilari soni belgilangan tartibda hisobga olinadi.






