Фан олимпиадалари маркази томонидан ўтказилган 2024 йилги Асосий олимпиаданинг ҳудудий босқичи доирасида 2-гуруҳ фанлари бўйича топшириқлар тўплами эълон қилинмоқда.
Ушбу олимпиаданинг 2-гуруҳ фанлари бўйича инглиз тили, немис тили ва француз тили фанларидан 9-, 10- ва 11-синфлар кесимида топшириқлар тўплами тақдим этилмоқда:
2024 йил ҳудудий босқич
ИНГЛИЗ ТИЛИ – 9-синф
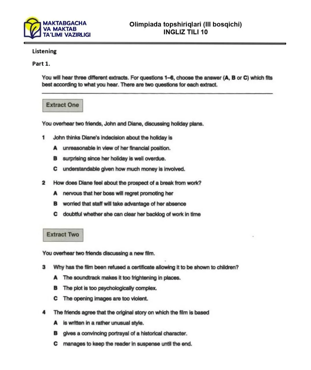
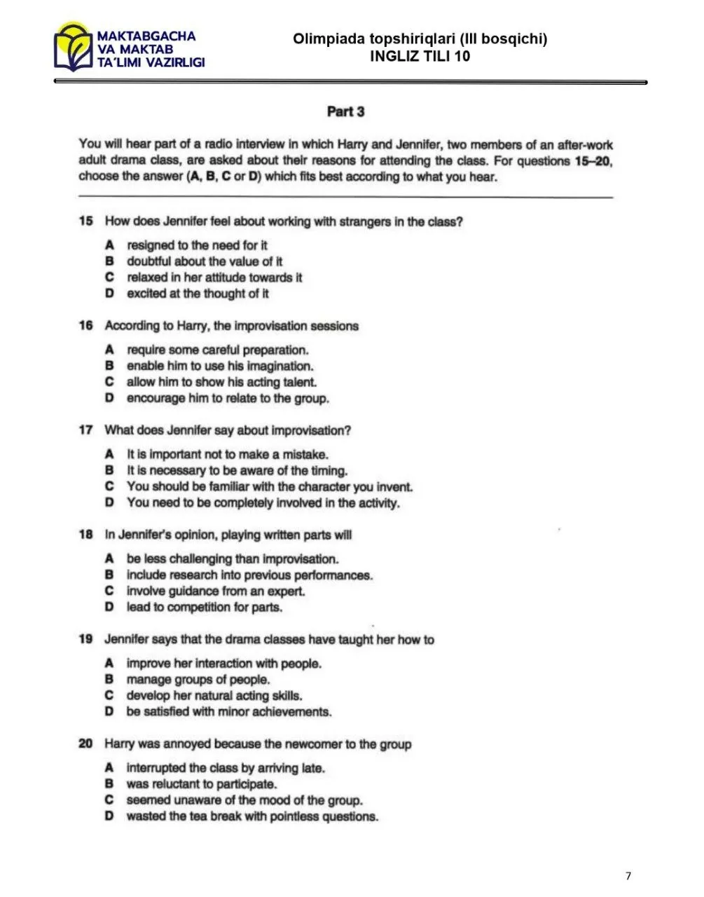
ИНГЛИЗ ТИЛИ – 10-СИНФ
ИНГЛИЗ ТИЛИ – 11-СИНФ
































